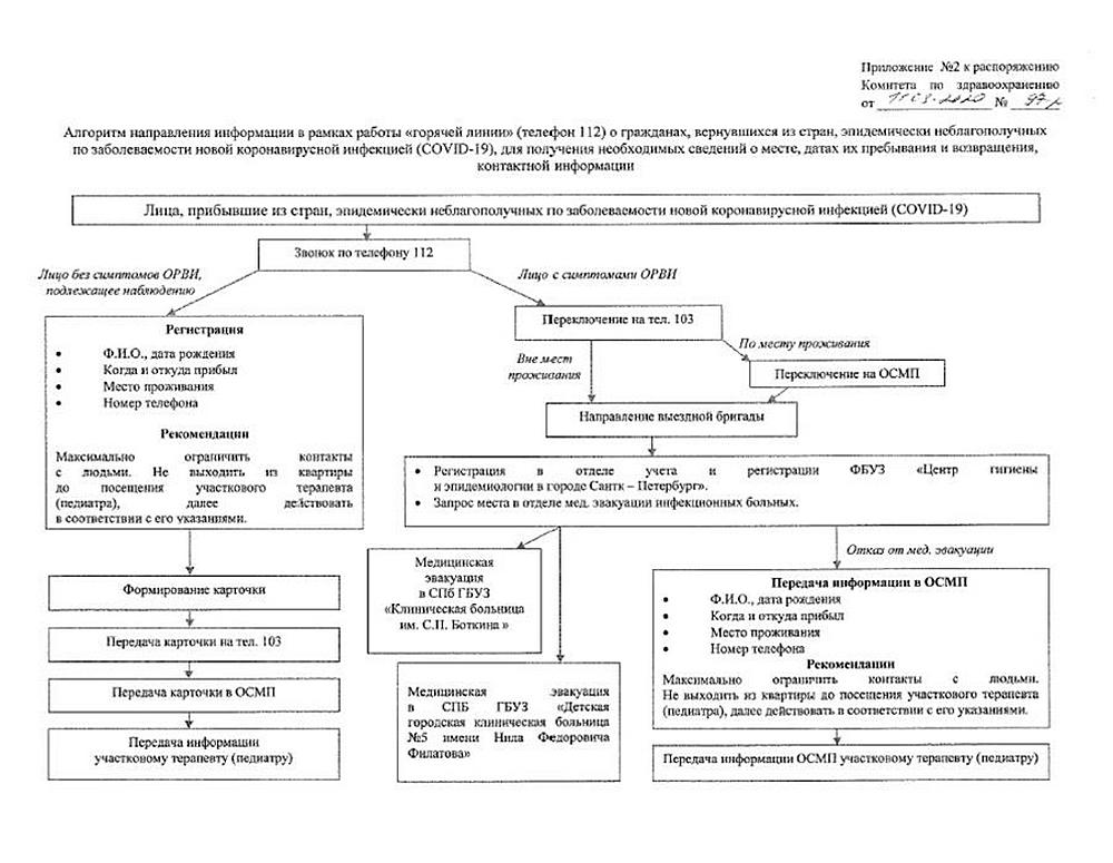
(рус) Что нужно знать о коронавирусе. Телефон «горячей линии» 8 (800) 200-46-46, 112 по Санкт-Петербургу
Sorry, this entry is only available in рус.
Sorry, this entry is only available in рус.
УВАЖАЕМЫЕ ПОСЕТИТЕЛИ ЦЕНТРА АЛМАЗОВА!
Уведомляем вас, что в соответствии с Федеральным законом от 06.03.2006 № 35-ФЗ «О противодействии терроризму» в Центре Алмазова введен комплекс дополнительных мер по безопасности, направленный на предотвращение террористических актов. В целях обеспечения безопасности граждан и целостности объектов инфраструктуры при посещении Центра Алмазова проводится дополнительный личный осмотр, осмотр вещей и автотранспорта. Отказ от соблюдения мер по безопасности может послужить причиной недопуска на территорию Центра Алмазова. Просим с пониманием отнестись к введенным мерам по безопасности.
С уважением, Администрация Центра Алмазова